基于Python的圖像閾值化分割(迭代法)
1.閾值化分割原理
通過對圖像的灰度直方圖進行數學統計,選擇一個或多個閾值將像素劃分為若干類。一般情況下,當圖像由灰度值相差較大的目標和背景組成時,如果目標區域內部像素灰度分布均勻一致,背景區域像素在另一個灰度級上也分布均勻,這時圖像的灰度直方圖會呈現出雙峰特性。
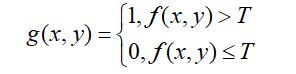
在這種情況下,選取位于這兩個峰值中間的谷底對應的灰度值T作為灰度閾值,將圖像中各個像素的灰度值與這個閾值進行比較,根據比較的結果將圖像中的像素劃分到兩個類中。像素灰度值大于閾值T的像素點歸為一類,其余像素點歸為另一類。經閾值化處理后的圖像g(x,y)定義為:

其中f(x,y)為原圖像,T為灰度閾值,g(x,y)為分割后產生的二值圖像。
2.算法流程圖

3.代碼實現
from PIL import Imageimport matplotlib.pyplot as pltimport numpy as np#讀入圖片并轉化為矩陣img = plt.imread(’2.jpg’)im = np.array(img)# 矩陣大小l = len(im)w = len(im[0])#求初始閾值zmin = np.min(im)zmax = np.max(im)t0 = int((zmin+zmax)/2)#初始化相關變量初始化t1=0res1=0res2=0s1=0s2=0#迭代法計算最佳閾值while abs(t0-t1)>0: for i in range(0,l-1): for j in range(0,w-1): if im[i,j]<t0: res1=res1+im[i,j] s1=s1+1 elif im[i,j]>t0: res2=res2+im[i,j] s2=s2+1 avg1=res1/s1 avg2=res2/s2 res1 = 0 res2 = 0 s1 = 0 s2 = 0 t1 = t0 #舊閾值儲存在t1中 t0=int((avg1+avg2)/2) #計算新閾值#閾值化分割#像素點灰度值小于最佳閾值t0用0填充,其余用255填充im = np.where(im[...,:] < t0, 0, 255)#繪制原圖窗口plt.figure()plt.imshow(img , cmap=’gray’)plt.title(’original’)#繪制原圖直方圖并顯示最佳閾值plt.figure()plt.hist(img.ravel(),256)plt.title(’hist’)plt.axvline(t0) #繪制最佳閾值分割線plt.text(25, 6100, 'Best Threshold:{}'.format(t0), size = 15, alpha = 0.8)#繪制閾值化分割后圖像plt.figure()plt.imshow(Image.fromarray(im) , cmap=’gray’)plt.title(’new’)#繪制閾值化分割后圖像的直方圖plt.figure()plt.hist(im.ravel(),256)plt.title(’hist’)plt.show()
4.閾值化分割結果
原始圖像

原始圖像直方圖

閾值化分割后圖像

閾值化分割后圖像直方圖

到此這篇關于基于Python的圖像閾值化分割(迭代法)的文章就介紹到這了,更多相關Python 圖像閾值化分割內容請搜索好吧啦網以前的文章或繼續瀏覽下面的相關文章希望大家以后多多支持好吧啦網!
相關文章:

網公網安備