如何在CSS中繪制曲線圖形及展示動畫
目錄
- 理解 box-shadow
- 使用陰影復制圖像/投影圖像
- 在陰影坐標中運用三角函數
- 三角函數
- 如何在 CSS 中使用三角函數 sin/cos
- 控制顏色及初始方向
- 控制顏色
- 在 css-doodle 中使用
- 總結
理解 box-shadow
首先,回顧一下box-shadow這個屬性。基本屬性用法就是給元素創造一層陰影。
再簡單提一下,本文會用到的關于陰影的第一個技巧:
使用陰影復制圖像/投影圖像
當 box-shadow 的第三、第四個參數模糊半徑和擴張半徑都為 0 的時候,我們可以得到一個和元素大小一樣的陰影:
div { width: 80px; height: 80px; border: 1px solid #333; box-sizing: border-box; box-shadow: 80px 80px 0 0 #000;}得到如下結果:

陰影可以是多重的
第二個技巧則是,box-shadow是允許多重陰影的,并且他們的坐標是可以完全掌控的。
是的,我們可以像下面這樣給一個元素定義多重陰影,并且利用陰影的第一、第二個參數控制它相對于元素的坐標:
div { width: 80px; height: 80px; border: 1px solid #333; box-sizing: border-box; box-shadow:80px 80px 0 0 #000,70px 70px 0 0 #000,...60px 60px 0 0 #000;}在陰影坐標中運用三角函數
繼續。接下來,我們嘗試在陰影的坐標中引入三角函數。
為啥是三角函數,不是圓的標準方程或者橢圓的標準方程或者其他圖形函數呢?當然也是可以的,只是這里借助三角函數的cos或sin可以實現直接使用 CSS 實現起來很困難的曲線。
帶著疑問,先繼續向下,假設我們要實現這樣一條曲線:

使用 CSS 的話,有什么辦法呢?
可能的一些辦法是clip-path,或者一些奇技淫巧,使用text-decoration里的波浪下劃線wavy,或者是使用漸變疊加。
當然,還有一種辦法是本文將提到的使用box-shadow及 三角函數。
三角函數
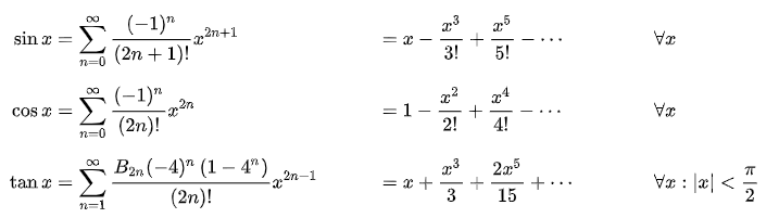
咳咳,簡單回顧下三角函數里面的 sin、cos 曲線圖像變換,還沒有全部還給老師。

如果我們有一個 1x1 的 div,它的多重陰影,能夠按照像正弦/余弦函數的圖像一樣進行排布,連起來不就是一條曲線嗎?
如何在 CSS 中使用三角函數 sin/cos
想法不錯,但是 CSS 本身并沒有提供三角函數。這里,我們需要借助 Sass 來在 CSS 中實現簡單的三角函數。
還好,已經有前人幫忙把這個工作做完了:
- trigonometry in sass
- 在Sass中實現三角函數計算
簡單而言,就是借助三角函數的泰勒展開式,使用 Sass 函數模擬實現三角函數的 sin()、cos()、tan():

由于展開式是無限長的,使用 Sass 函數模擬時,不可能得到一個非常精確的值,但是在日常作圖下已經完全夠用了,以下是使用 Sass 函數模擬實現三角函數的 sin()、cos()、tan():
@function fact($number) { $value: 1; @if $number>0 {@for $i from 1 through $number { $value: $value * $i;} } @return $value;} @function pow($number, $exp) { $value: 1; @if $exp>0 {@for $i from 1 through $exp { $value: $value * $number;} } @else if $exp < 0 {@for $i from 1 through -$exp { $value: $value / $number;} } @return $value;} @function rad($angle) { $unit: unit($angle); $unitless: $angle / ($angle * 0 + 1); @if $unit==deg {$unitless: $unitless / 180 * pi(); } @return $unitless;} @function pi() { @return 3.14159265359;} @function sin($angle) { $sin: 0; $angle: rad($angle); // Iterate a bunch of times. @for $i from 0 through 20 {$sin: $sin + pow(-1, $i) * pow($angle, (2 * $i + 1)) / fact(2 * $i + 1); } @return $sin;} @function cos($angle) { $cos: 0; $angle: rad($angle); // Iterate a bunch of times. @for $i from 0 through 20 {$cos: $cos + pow(-1, $i) * pow($angle, 2 * $i) / fact(2 * $i); } @return $cos;} @function tan($angle) { @return sin($angle) / cos($angle);}由于上面最終計算 sin、cos 泰勒展開的時候,只使用了 20 層循環,所以當傳入的值太大的時候,則會產生較大誤差。經測試,傳入數值在 [-20, 20] 以內,精度還是非常高的。
而以 sin 函數為例,x 取值在 [-π, π] 之間,已經能覆蓋所有 sin(x) 的取值范圍,所以 [-20, 20] 這個范圍是完全夠用的,我們只需要盡量讓傳入的 x 值落在這個區域范圍內即不會產生太大誤差。
好,鋪墊了那么多,接下來使用上述的 sin 函數試一下,假設我們有這樣一個結構:
div { width: 1px; height: 1px; background: #000; border-radius: 50%;}我們再借助 Sass 實現一個 50 層的循環,當然其中陰影的 x 坐標使用了 sin 函數:
@function shadowSet($vx, $vy) { $shadow : 0 0 0 0 #000; @for $i from 0 through 50 {$x: sin($i / 8) * $vx;$y: $i * $vy; $shadow: $shadow, #{$x} #{$y} 0 0 rgba(0, 0, 0, 1); } @return $shadow;} div { width: 1px; height: 1px; background: #000; border-radius: 50%; box-shadow: shadowSet(4px, 1px);}上面sin($i / 8),這里除以 8 是為了讓整個sin(x) 傳入的作用域的取值范圍為 [0, 6.25],當而 sin(x) 的作用域為 [0,2π] 時剛好可以畫一條完整的單次曲線。這個 8 是可以根據循環的次數不同而進行調整的。
實際,我們得到的box-shadow如下:
{ box-shadow: 0 0 0 0 black, 0.4986989335px 1px 0 0 black, 0.989615837px 2px 0 0 black, 1.4650901163px 3px 0 0 black, 1.9177021544px 4px 0 0 black, 2.3403890918px 5px 0 0 black, 2.7265550401px 6px 0 0 black, 3.0701740089px 7px 0 0 black, 3.3658839392px 8px 0 0 black, 3.6090703764px 9px 0 0 black, 3.7959384774px 10px 0 0 black, 3.9235722281px 11px 0 0 black, 3.9899799464px 12px 0 0 black, 3.9941253622px 13px 0 0 black, 3.9359437875px 14px 0 0 black, 3.8163431264px 15px 0 0 black, 3.6371897073px 16px 0 0 black, 3.4012791593px 17px 0 0 black, 3.1122927876px 18px 0 0 black, 2.7747401278px 19px 0 0 black, 2.3938885764px 20px 0 0 black, 1.9756811944px 21px 0 0 black, 1.5266439682px 22px 0 0 black, 1.0537839735px 23px 0 0 black, 0.5644800322px 24px 0 0 black, 0.0663675689px 25px 0 0 black, -0.4327805381px 26px 0 0 black, -0.9251752496px 27px 0 0 black, -1.4031329108px 28px 0 0 black, -1.8591951521px 29px 0 0 black, -2.286245275px 30px 0 0 black, -2.677619305px 31px 0 0 black, -3.0272099812px 32px 0 0 black, -3.3295620582px 33px 0 0 black, -3.5799574329px 34px 0 0 black, -3.7744887692px 35px 0 0 black, -3.9101204707px 36px 0 0 black, -3.9847360499px 37px 0 0 black, -3.9971711559px 38px 0 0 black, -3.9472317429px 39px 0 0 black, -3.8356970987px 40px 0 0 black, -3.6643076841px 41px 0 0 black, -3.4357379737px 42px 0 0 black, -3.1535547213px 43px 0 0 black, -2.8221613023px 44px 0 0 black, -2.446729px 45px 0 0 black, -2.03311631px 46px 0 0 black, -1.58777752px 47px 0 0 black, -1.1176619928px 48px 0 0 black, -0.630105724px 49px 0 0 black, -0.1327168662px 50px 0 0 black;}實際得到的圖像如下:

控制顏色及初始方向
看看上面 Sass 實現的這個方法@function shadowSet($vx, $vy),其中$vx,$vy用于控制圖像的振幅及松散程度,我們再添加一個控制初始方向的$direction,控制陰影層數的 $count, 控制顏色的 $color:
@function shadowSet($vx, $vy, $direction, $count, $color) { $shadow : 0 0 0 0 $color; @for $i from 0 through $count {$x: sin($i / 8) * $vx * $direction;$y: $i * $vy; $shadow: $shadow, #{$x} #{$y} 0 0 $color; } @return $shadow;}.line { width: 1px; height: 1px; margin: 10vh auto; background: #000; border-radius: 50%; box-shadow: shadowSet(4px, 1px, 1, 50, #000);} .reverseline { width: 1px; height: 1px; margin: 10vh auto; background: #000; border-radius: 50%; box-shadow: shadowSet(8px, 2px, -1, 100, red);}
控制顏色
再進一步,我們可以借助 Sass 的各種顏色函數,實現顏色的變化:
@function shadowSetColor($vx, $vy, $direction, $count, $color) { $shadow : 0 0 0 0 $color; @for $i from 0 through $count { $color: lighten($color, .5); $x: sin($i / 8) * $vx * $direction;$y: $i * $vy; $shadow: $shadow, #{$x} #{$y} 0 0 $color; } @return $shadow;} .colorline { width: 5px; height: 5px; margin: 10vh auto; background: green; border-radius: 50%; box-shadow: shadowSetColor(8px, 2px, -1, 100, green);}上面,借助了lighten這個函數,通過改變顏色的亮度值,讓顏色變亮,創建一個新的顏色。
當然,Sass 中還有很多其他顏色函數:
- adjust-hue($color,$degrees):通過改變一個顏色的色相值,創建一個新的顏色;
- lighten($color,$amount):通過改變顏色的亮度值,讓顏色變亮,創建一個新的顏色;
- darken($color,$amount):通過改變顏色的亮度值,讓顏色變暗,創建一個新的顏色;
- saturate($color,$amount):通過改變顏色的飽和度值,讓顏色更飽和,從而創建一個新的顏色
- desaturate($color,$amount):通過改變顏色的飽和度值,讓顏色更少的飽和,從而創建出一個新的顏色;
OK,看看這次的效果:

@function fact($number) { $value: 1; @if $number>0 {@for $i from 1 through $number { $value: $value * $i;} } @return $value;}在 css-doodle 中使用
OK,前面所有的鋪墊都是為了在實際的一些創意想法中去使用它。
在 css-doodle 中,由于是利用 Web Component 特性。在需要三角函數的時候,可以直接使用 JavaScript 提供的 Math 函數,會更加的方便。
Web Components 是一套不同的 Web 技術,允許您創建可重用的定制元素(它們的功能封裝在您的代碼之外)并且在您的web應用中使用它們。
袁川老師,也就是 css-doodle 庫的作者,在他的 Codepen 首頁背景板中,使用的就是使用上述技巧實現的一副純 CSS 畫作:

html, body { height: 100%; margin: 0; display: flex; align-items: center; justify-content: center; background: #000; } <style> css-doodle { --color: @p(#010059, #52437b, #ff7a8a, #fcf594)@p([2-9a-d])@lp(); --rule: ( :doodle {@grid: 8 / 120vmin 80vmin;max-width: 100vw;background: linear-gradient(#ff7a8a, #fcf594);filter: hue-rotate(-22deg);overflow: hidden; } @size: @r(4vmin, 15vmin); mix-blend-mode: multiply; transform: translate(@m2(@r(-80%, 100%))); border-radius: 50%; --n: @p(-1, 1); --c: var(--color); box-shadow: @m100(calc(@sin(@n() / 10) * 1.8vmin * @var(--n))calc(@n() * 1vmin) 0@var(--c) ); background: @m(@p(0, @ri(500)), (radial-gradient(var(--color) 50%, transparent 0)@r(100%) @r(100%) / @r(1px, 3px) @lr()no-repeat )); background-color: var(--color); ); } </style><css-doodle use="var(--rule)" click-to-update></css-doodle>我也嘗試使用這個技巧,做了一副

總結
有幾點,有必要提一下的。
1、為什么一定要使用box-shadow,直接堆疊 div 不行么?
可以,使用多重box-shadow只是因為這樣可以更省標簽,一個 div 搞定。更甚,愿意折騰,使用多重漸變也是可以的。
2、上述兩個 Demo 都是純 CSS 畫出來的嗎?
是的。雖然借助了 css-doodle 庫,但是本質都是 CSS 代碼,只是這個庫封裝好了很多拿來即用的函數。css-doodle
3、有什么用?
額,有沒有用是一個哲學問題。至少我覺得還是挺有意思的。
以上就是如何在CSS中繪制曲線圖形及展示動畫的詳細內容,更多關于在CSS中繪制曲線圖形及展示動畫的資料請關注其它相關文章!
相關文章:

網公網安備