文章詳情頁
python線性插值解析
瀏覽:19日期:2022-07-18 17:01:07
在缺失值填補上如果用前后的均值填補中間的均值,比如,0,空,1,我們希望中間填充0.5;或者0,空,空,1,我們希望中間填充0.33,0.67這樣。
可以用pandas的函數進行填充,因為這個就是線性插值法
df..interpolate()
dd=pd.DataFrame(data=[0,np.nan,np.nan,1])dd.interpolate()


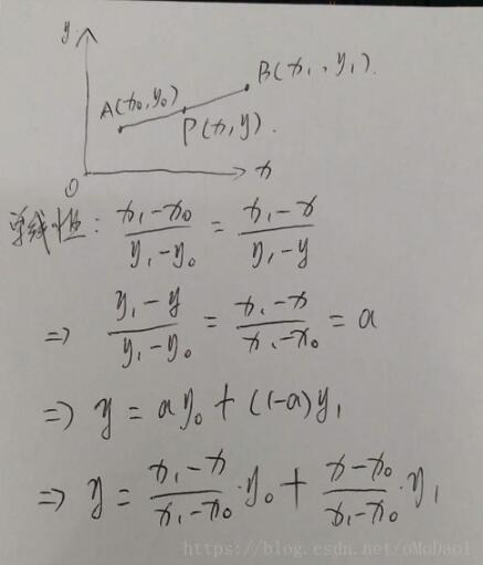
補充知識:線性插值公式簡單推導

以上這篇python線性插值解析就是小編分享給大家的全部內容了,希望能給大家一個參考,也希望大家多多支持好吧啦網。
相關文章:
排行榜

網公網安備