python歸并排序算法過程實例講解
關于python的算法一直都是讓我們又愛又恨,但是如果可以靈活運用起來,對我們的編寫代碼過程,可以大大提高效率,針對算法之一“歸并排序”的靈活掌握,一起來看下吧~
歸并算法——小試牛刀
實例內容:
有 1 個無序列表如下:
list = [23,35,12,34,54,78,76,99]
要求:使其按從小到大排序
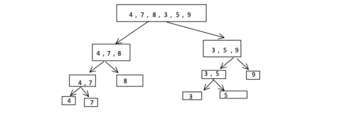
圖示思路

Python 代碼

歸并排序理解:
1.通過二分法把一個數組按照遞歸拆分為左右兩組(至到獨立元素為止)
2.按照從底層往高層的方法左右數組對比,同時對兩個數組的第一個位置進行比大小,將小的放入一個空數組,然后被放入空數組的那個位置的指針往后移一個,然后繼續和另外一個數組的上一個位置進行比較,以此類推。到最后任何一個數組先出棧完,就將另外i一個數組里的所有元素追加到新數組后面。

示例:
def merge(a, b):c = []h = j = 0while j < len(a) and h < len(b):if a[j] < b[h]:c.append(a[j])j += 1else:c.append(b[h])h += 1if j == len(a):for i in b[h:]:c.append(i)else:for i in a[j:]:c.append(i)return cdef merge_sort(lists):if len(lists) <= 1:return listsmiddle = len(lists)/2left = merge_sort(lists[:middle])right = merge_sort(lists[middle:])return merge(left, right)if __name__ == ’__main__’: = [4, 7, 8, 3, 5, 9]print merge_sort(a)
到此這篇關于python歸并排序算法過程實例講解的文章就介紹到這了,更多相關python歸并排序算法過程圖示詳解內容請搜索好吧啦網以前的文章或繼續瀏覽下面的相關文章希望大家以后多多支持好吧啦網!
相關文章:

網公網安備