文章詳情頁
在Word文檔中絕對值符號怎么打?
瀏覽:149日期:2022-09-09 18:07:16
在使用Word辦公軟件編輯文檔的時候,難免會碰到輸入數學公式的情況,如果能夠正確的輸入數學公式,那么可以更加直觀的體現公式的含義。現在我們需要在Word文檔中輸入絕對值符號,這時我們該如何操作呢?
操作方法
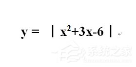
1、首先,求下列等式中x的值,這里需要給右邊等式加上一個絕對值符號。

2、接著,選擇“插入”菜單下的“符號”按鈕,單擊“其他符號”選項。

3、然后,將【子集】選擇到“CJK兼容模式”,如圖所示。

4、接著,將【字體】選擇為“普通文本”,如圖所示。

5、設置完成后,我們就可以看到如圖所示的“絕對值符號”了。

6、接著,用鼠標將光標調整至需要插入絕對值符號的地方,點擊“插入”即可,如圖所示。

7、通過上面的編輯,word文檔中的絕對值符號就打出來了。

在符號列表中,有很多平時比較少用到的符號,但是如果不知道這些符號在哪,在需要使用的時候就顯得無從下手了。到此關于絕對值符號怎么打的教程就寫到這,希望對你有所幫助。
標簽:
word
相關文章:
排行榜

網公網安備