淺談從Java中的棧和堆,進而衍生到值傳遞
簡述Java中的棧和堆,變量和對象的地址存放和綁定機制
初學java的小白,很多人都搞不清楚java中堆和棧的概念,我們都知道計算機只能識別二進制字節碼文件,如果分不清楚對象和變量在內存的地址分配,也就是堆和棧的問題,很多問題比如綁定機制、靜態方法、實例方法、局部變量的作用域就會搞不清楚。
首先記住結論:
基本數據類型、局部變量、String類型的直接賦值都是存放在棧內存中的,用完就消失。
new創建的實例化對象、String類型的構造方法new出來的對象及數組,是存放在堆內存中的,用完之后靠垃圾回收機制不定期自動消除。
地址是棧,就是靜態綁定機制,執行完值不變化;地址是堆(對象在堆內儲存,一般也會在棧里分配一個空間,去指向堆里的對象的地址)就是動態綁定機制,執行完值變化。
棧和堆
棧:基本類型變量,String類型的直接賦值變量,對象的實例變量都在函數的棧內存中分配。棧內存特點,數據一執行完畢,變量會立即釋放,節約內存空間;并且必須初始化變量的值。
堆:堆內存用來存放new創建的對象、String類型的構造方法new出來的對象和數組。堆內存中所有的實體都有內存地址值,系統會自動初始化變量的值;當堆內存中的實體不再被指向時,JVM啟動垃圾回收機制,自動清除。
舉例1:
public static void main(String[] args) { int sum = 0; String str = 'abc'; for(int i =1 ; i<score; i++){ sum += i; } //可以打印sum System.out.println(sum); 不可以打印i System.out.println(i); }
如下圖所示:

以上程序執行步驟:
第1步——main()函數是程序入口,JVM先執行,在棧內存中開辟鏈兩個空間,存放int類型變量sum,同時附值0;String類型變量 str,并賦值'abc';
第2步——JVM執行for循環是,在棧內存中又開辟一個新的空間,存放int類型變量i,同時附值1?!〈藭rmain空間與for空間并存,同時運行,互不影響。第3步——for()執行完畢,變量i立即釋放,空間消失。但是main()函數空間仍存在,main中的變量sum和str仍然存在,不受影 響。
從上可以看出:基本數據類型、局部變量、String類型的直接賦值都是存放在棧內存中的,用完就消失。地址是棧,就是靜態綁定機制,執行完值不變化。
舉例2:
public class Test1 { int score; public static void main(String[] args) { int[] sum = {0,1,2}; String str = new String('abc'); Test1 test1 = new Test1(); test1.score = 98; test1.showInfo(); } public void showInfo(){ System.out.println('我的成績是'+score); }}
上述代碼的意思如下圖所示:

從上可以看出:new創建的實例化對象、String類型的構造方法new出來的對象及數組,是存放在堆內存中的,用完之后靠垃圾回收機制不定期自動消除。地址是堆(對象在堆內儲存,一般也會在棧里分配一個空間,去指向堆里的對象的地址)就是動態綁定機制,執行完值變化。
總結:
基本數據類型、局部變量、String類型的直接賦值都是存放在棧內存中的,用完就消失。
new創建的實例化對象、String類型的構造方法new出來的對象及數組,是存放在堆內存中的,用完之后靠垃圾回收機制不定期自動消除。
地址是棧,就是靜態綁定機制,執行完值不變化;地址是堆(對象在堆內儲存,一般也會在棧里分配一個空間,去指向堆里的對象的地址)就是動態綁定機制,執行完值變化。
值傳遞
到底是值傳遞還是引用傳遞
是值傳遞。Java 語言的方法調用只支持參數的值傳遞。當一個對象實例作為一個參數被傳遞到方法中時,參數的值就是對該對象的引用。對象的屬性可以在被調用過程中被改變,但對對象引用的改變是不會影響到調用者的
為什么 Java 中只有值傳遞
首先回顧一下在程序設計語言中有關將參數傳遞給方法(或函數)的一些專業術語。按值調用(call by value)表示方法接收的是調用者提供的值,而按引用調用(call by reference)表示方法接收的是調用者提供的變量地址。一個方法可以修改傳遞引用所對應的變量值,而不能修改傳遞值調用所對應的變量值。 它用來描述各種程序設計語言(不只是Java)中方法參數傳遞方式。
Java程序設計語言總是采用按值調用。也就是說,方法得到的是所有參數值的一個拷貝,也就是說,方法不能修改傳遞給它的任何參數變量的內容。
下面通過 3 個例子來給大家說明
example 1
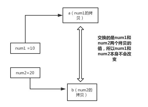
public static void main(String[] args) { int num1 = 10; int num2 = 20; swap(num1, num2); System.out.println('num1 = ' + num1); System.out.println('num2 = ' + num2);} public static void swap(int a, int b) { int temp = a; a = b; b = temp; System.out.println('a = ' + a); System.out.println('b = ' + b);}
結果:
a = 20b = 10num1 = 10num2 = 20

在swap方法中,a、b的值進行交換,并不會影響到 num1、num2。因為,a、b中的值,只是從 num1、num2 的復制過來的。也就是說,a、b相當于num1、num2 的副本,副本的內容無論怎么修改,都不會影響到原件本身。
通過上面例子,我們已經知道了一個方法不能修改一個基本數據類型的參數,而對象引用作為參數就不一樣,請看 example2.
example 2
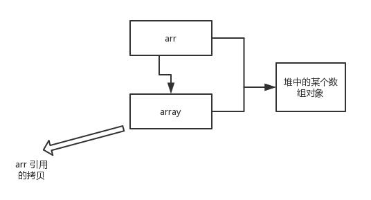
public static void main(String[] args) { int[] arr = { 1, 2, 3, 4, 5 }; System.out.println(arr[0]); change(arr); System.out.println(arr[0]); } public static void change(int[] array) { // 將數組的第一個元素變為0 array[0] = 0; }
結果:
10
解析:

array 被初始化 arr 的拷貝也就是一個對象的引用,也就是說 array 和 arr 指向的時同一個數組對象。 因此,外部對引用對象的改變會反映到所對應的對象上。
通過 example2 我們已經看到,實現一個改變對象參數狀態的方法并不是一件難事。理由很簡單,方法得到的是對象引用的拷貝,對象引用及其他的拷貝同時引用同一個對象。
很多程序設計語言(特別是,C++和Pascal)提供了兩種參數傳遞的方式:值調用和引用調用。有些程序員(甚至本書的作者)認為Java程序設計語言對對象采用的是引用調用,實際上,這種理解是不對的。由于這種誤解具有一定的普遍性,所以下面給出一個反例來詳細地闡述一下這個問題。
example 3
public class Test { public static void main(String[] args) { // TODO Auto-generated method stub Student s1 = new Student('小張'); Student s2 = new Student('小李'); Test.swap(s1, s2); System.out.println('s1:' + s1.getName()); System.out.println('s2:' + s2.getName()); } public static void swap(Student x, Student y) { Student temp = x; x = y; y = temp; System.out.println('x:' + x.getName()); System.out.println('y:' + y.getName()); }}
結果:
x:小李y:小張s1:小張s2:小李
解析:
交換之前:

交換之后:

通過上面兩張圖可以很清晰的看出: 方法并沒有改變存儲在變量 s1 和 s2 中的對象引用。swap方法的參數x和y被初始化為兩個對象引用的拷貝,這個方法交換的是這兩個拷貝
總結
Java程序設計語言對對象采用的不是引用調用,實際上,對象引用是按值傳遞的。
下面再總結一下Java中方法參數的使用情況:
一個方法不能修改一個基本數據類型的參數(即數值型或布爾型》
一個方法可以改變一個對象參數的狀態。
一個方法不能讓對象參數引用一個新的對象。
值傳遞和引用傳遞有什么區別
值傳遞:指的是在方法調用時,傳遞的參數是按值的拷貝傳遞,傳遞的是值的拷貝,也就是說傳遞后就互不相關了。
引用傳遞:指的是在方法調用時,傳遞的參數是按引用進行傳遞,其實傳遞的引用的地址,也就是變量所對應的內存空間的地址。傳遞的是值的引用,也就是說傳遞前和傳遞后都指向同一個引用(也就是同一個內存空間)。
以上這篇淺談從Java中的棧和堆,進而衍生到值傳遞就是小編分享給大家的全部內容了,希望能給大家一個參考,也希望大家多多支持好吧啦網。

網公網安備