java 一個類實現兩個接口的案例
直接用英文逗號分隔就可以了,比如:
inerface IHello { String sayHello(String name); }interface IHi { String sayHi(String name); } class ServiceImpl implements IHello, IHi {// 實現三個四個。。。n個接口都是使用逗號分隔public String sayHello(String name) { return 'Hello, ' + name; }public String sayHi(String name) { return 'Hi, ' + name; }}
補充知識:Java 一個類實現的多個接口,有相同簽名的default方法會怎么辦?
看代碼吧~
public interface A { default void hello() { System.out.println('Hello from A'); }}public interface B extends A { default void hello() { System.out.println('Hello from B'); }}public class C implements B, A { public static void main(String... args) { new C().hello(); }}
這段代碼,會打印什么呢?
有三條規則
類永遠贏。類聲明的方法,或者超類聲明的方法,比default方法的優先級高
否則,子接口贏
否則,如果集成自多個接口,必須明確選擇某接口的方法
上面代碼的UML圖如下

所以,上面的代碼,輸出是
Hello from B
如果這樣呢?
public class D implements A{ }public class C extends D implements B, A { public static void main(String... args) { new C().hello(); }}
UML圖是這樣的

規則1說,類聲明的方法優先級高,但是,D沒有覆蓋hello方法,它只是實現了接口A。所以,它的default方法來自接口A。規則2說,如果類和超類沒有方法,就是子接口贏。所以,程序打印的還是“Hello from B”。
所以,如果這樣修改代碼
public class D implements A{ void hello(){ System.out.println('Hello from D'); }}public class C extends D implements B, A { public static void main(String... args) { new C().hello(); }}
程序的輸出就是“Hello from D”。
如果D這樣寫
public abstract class D implements A { public abstract void hello();}
C就只能實現自己的抽象方法hello了。
如果是這樣的代碼呢
public interface A { default void hello() { System.out.println('Hello from A'); }}public interface B { default void hello() { System.out.println('Hello from B'); }}public class C implements B, A { }
UML圖如下

會生成這樣的編譯器錯誤
'Error: class C inherits unrelated defaults for hello() from types B and A.'
怎么修改代碼呢?只能明確覆蓋某接口的方法
public class C implements B, A { void hello(){ B.super.hello(); }}
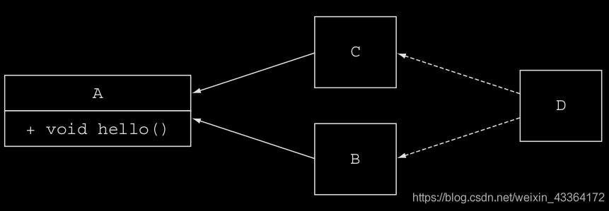
如果代碼是這樣的,又會怎樣呢?
public interface A{ default void hello(){ System.out.println('Hello from A'); }}public interface B extends A { }public interface C extends A { }public class D implements B, C { public static void main(String... args) { new D().hello(); }}
UML圖是這樣的

很明顯,還是不能編譯。
以上這篇java 一個類實現兩個接口的案例就是小編分享給大家的全部內容了,希望能給大家一個參考,也希望大家多多支持好吧啦網。
相關文章:

網公網安備